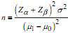
Para um teste de hipóteses unilateral para comparação de médias de populações normalmente distribuídas com a mesma variância , em que
H0 : μ = μ0 versus H0: μ = μ1
e α e β são probabilidades de cometer os erros do tipo I e tipo II, respectivamente. O tamanho de amostra n requerida para esse caso é: (Z - quantis da distribuição normal com relação a α e β).
H0 : μ = μ0 versus H0: μ = μ1
e α e β são probabilidades de cometer os erros do tipo I e tipo II, respectivamente. O tamanho de amostra n requerida para esse caso é: (Z - quantis da distribuição normal com relação a α e β).