Magna Concursos
1658456 Ano: 2007
Disciplina: Estatística
Banca: NCE-UFRJ
Orgão: Eletrobrás
Provas:

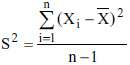
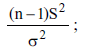
Uma amostra aleatória simples X1, X2, ... , Xn, de tamanho n, será obtida de uma população descrita por uma densidade normal com média enunciado 1658456-1 e variância enunciado 1658456-2. Se X representa a média amostral e se enunciado 1658456-3 , então a seguinte variável tem distribuição qui-quadrado com n – 1 graus de liberdade:

 

Provas

Questão presente nas seguintes provas

Estatístico

70 Questões