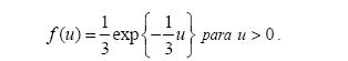
As variáveis aleatórias X e Y são distribuídas independentemente com função densidade de probabilidades comum

Seja Z=X+XY. Assinale a opção que corresponde à variância da esperança condicional de Z dado Y.
As variáveis aleatórias X e Y são distribuídas independentemente com função densidade de probabilidades comum

Seja Z=X+XY. Assinale a opção que corresponde à variância da esperança condicional de Z dado Y.