
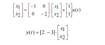
Considerando que a representação no espaço de estados de determinado sistema contínuo no tempo seja dada pelas relações acima, em que u(t) é o sinal de entrada e y(t), o sinal de saída, julgue os itens subsequentes.
Provas
Questão presente nas seguintes provas