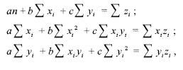
No modelo de regressão múltipla Z = a + bX + cY +
,
representa um desvio aleatório. Com referência a esse modelo, julgue os próximos itens.
As equações normais para esse problema são expressas pelas seguintes equações:

em que n representa o tamanho da amostra.