Magna Concursos
555235 Ano: 2015
Disciplina: Estatística
Banca: CESPE / CEBRASPE
Orgão: FUB
Provas:
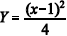
Em um estudo, determinou-se que a medida representada pela variável aleatória X segue a distribuição normal com média 1e variância 4 e que a função de densidade dessa variável é expressa por:Enunciado 555235-1 em que x é um número real.

Com base nos dados desse estudo, julgue o itema seguir, considerando que Φ(0,674) = 0,750, Φ(2,0) = 0,977 e Φ(3,0) = 0,999, em que Φ(z) representa a função de distribuição acumulada da distribuição normal padrão.
A variável Enunciado 555235-2 segue uma distribuição exponencial.
 

Provas

Questão presente nas seguintes provas

Estatístico

120 Questões