Magna Concursos
555246 Ano: 2015
Disciplina: Estatística
Banca: CESPE / CEBRASPE
Orgão: FUB
Provas:
Um estatístico estimou a quantidade máxima, θ, de processos que um funcionário de sua empresa pode analisar durante um dia de trabalho, assumindo que as quantidades de processos X1, X2, þ Xn , analisados por cada um dos n funcionários dessa empresa, sejam estatisticamente independentes e sigam uma distribuição Uniforme[0,θ].
Considerando que o estimador de máxima verossimilhança Enunciado 555246-1, seja viciado e que, consequentemente, o estimador Enunciado 555246-2 não o seja, julgue o próximo item.
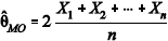
Um estimador de momentos para θ é Enunciado 555246-3 .
 

Provas

Questão presente nas seguintes provas

Estatístico

120 Questões