Magna Concursos
3299016 Ano: 2024
Disciplina: Matemática
Banca: Instituto JK
Orgão: Pref. Nina Rodrigues-MA
Provas:

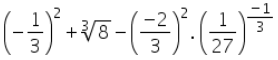
Determine o resultado da expressão numérica e assinale a alternativa correta:

Enunciado 3644429-1

 

Provas

Questão presente nas seguintes provas

Agente Administrativo

40 Questões