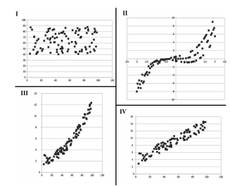
Cada uma das figura abaixo corresponde a um gráfico de dispersão, obtidos para um par de variáveis aleatórias distintas.

Com base nos gráficos assinale a alternativa que indica a situação mais provável:
Cada uma das figura abaixo corresponde a um gráfico de dispersão, obtidos para um par de variáveis aleatórias distintas.

Com base nos gráficos assinale a alternativa que indica a situação mais provável: