Magna Concursos
848937 Ano: 2014
Disciplina: Estatística
Banca: CESGRANRIO
Orgão: EPE
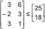
Observe a formulação a seguir:

Max W = [y1 y2 y3 ] enunciado 848937-1 Sujeito a: [y1 y2 y3 ] enunciado 848937-2 [y1 y2 y3 ] ≥ [0 0 0]

Qual é a formulação original (primal) do problema de programação linear que possui a formulação dual apresentada acima?
 

Provas

Questão presente nas seguintes provas

Analista da EPE - Petróleo/Abastecimento

60 Questões