A respeito de história da matemática, julgue o item subsequente.
Os babilônicos possuíam um método próprio para o cálculo
da raiz quadrada de um número, utilizando aproximações
sucessivas. Para determinar o valor aproximado de √P ,
se estimava, primeiramente, um valor p1 para essa raiz
e calculava-se o quociente
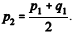
Com esses dois números
calculava-se um novo valor p2, a média aritmética de p1 e q1,
isto é,
Repetindo esse processo sucessivamente,
obtinha-se uma aproximação da raiz quadrada. No método
babilônico, se a estimativa inicial para √2 for p1 = 1,
então a terceira aproximação de será 