Magna Concursos
2287000 Ano: 2014
Disciplina: Fisioterapia
Banca: AOCP
Orgão: EBSERH
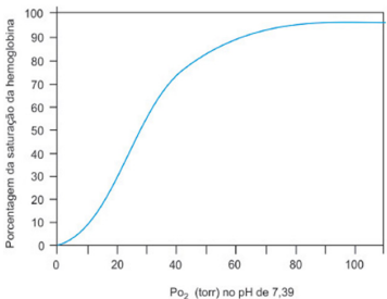
“RN com 29 semanas de gestação, pesando 1420g, evoluiu com desconforto respiratório progressivo nas primeiras horas, necessitando de IOT. Após criteriosa avaliação médica, o RN recebeu o diagnóstico de doença da membrana hialina. Os parâmetros do ventilador neste RN eram: PIP: 28 cmH2O, FiO2 : 78%, PEEP: 6 cmH2O, FR: 40 rpm. Após 2 horas da IOT deste prematuro sua PO2 era de 50 mmHg. No segundo dia sua PCO2 era de 70 mmHg. SO2 90%, PO2 80 mmHg, pH de 7,25, HCO3 de 26.
Analisando a figura a seguir e relacionando com o valor da PO2 , após 2 horas de IOT, assinale a alternativa que indica a porcentagem correta da saturação de hemoglobina deste prematuro.
Enunciado 2287000-1
 

Provas

Questão presente nas seguintes provas

Fisioterapeuta - Terapia Intensiva/Neonatal

50 Questões