Magna Concursos
673600 Ano: 2016
Disciplina: Ciências Atuariais
Banca: CESPE / CEBRASPE
Orgão: FUNPRESP-EXE
Provas:

A respeito das tábuas de mortalidade e da função de sobrevivência, julgue o item a seguir.

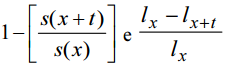
A probabilidade t qx de uma pessoa de x anos morrer antes de completar x + t anos, pode ser expressa pelas seguintes fórmulas: enunciado 673600-1 , em que s(x) é a função de sobrevivência, e lx , o número de pessoas vivas de x anos.

 

Provas

Questão presente nas seguintes provas

Especialista - Atuária

120 Questões