Assinale a opção correta.
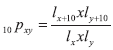
Sendo "x" a idade do marido e "y" a idade de sua esposa, a probabilidade do casal estar vivo, após 10 anos é dada por:
Atenção:
- observe que nas opções há "x" como idade e como operador matemático (donde a interpretação faz parte da questão).
Sendo "x" a idade do marido e "y" a idade de sua esposa, a probabilidade do casal estar vivo, após 10 anos é dada por:
Atenção:
- observe que nas opções há "x" como idade e como operador matemático (donde a interpretação faz parte da questão).
Provas
Questão presente nas seguintes provas