Magna Concursos
3235074 Ano: 2015
Disciplina: Estatística
Banca: UFMT
Orgão: DETRAN-MT

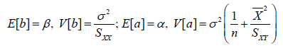
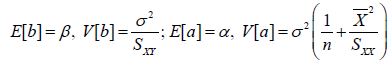
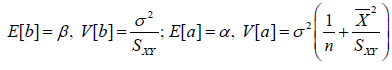
Na estimação dos parâmetros de uma reta de regressão \( Y_i = a + \beta X_i + U_i \), designa-se por a e b os estimadores de \( a \) e \( \beta \) e \( \hat {Y} = a + bX \) a reta estimada. Como os estimadores a e b são funções lineares da variável aleatória normal Y, os mesmos também são variáveis aleatórias com distribuição normal. As respectivas médias e variâncias dos estimadores a e b são:

 

Provas

Questão presente nas seguintes provas