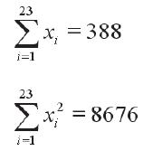
Considerando que as observações apresentadas na questão anterior constituem uma amostra aleatória simples X1, X2, ..., Xn de uma variável aleatória X, determine o valor mais próximo da variância amostral, usando um estimador não tendencioso da variância de X.
Considere que:

Considere que:

Provas
Questão presente nas seguintes provas