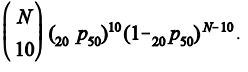
A respeito das funções de sobrevivência para múltiplas vidas em uma mesma coorte, julgue o item subsequente, considerando que npx indica a probabilidade de uma pessoa com x anos de idade viver mais n anos.
A probabilidade de, em um grupo de N pessoas (N > 10), todas com 50 anos de idade, apenas 10 pessoas chegarem vivas aos 70 anos de idade é expressa por
