Acerca de pesquisa operacional, julgue o item a seguir.
Considere o seguinte problema de programação linear.

Nesse caso, o vetor de variáveis básicas é dado por !$ x^B=(x_3,x_4)=(6,10) !$.
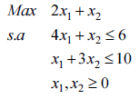
Acerca de pesquisa operacional, julgue o item a seguir.
Considere o seguinte problema de programação linear.

Nesse caso, o vetor de variáveis básicas é dado por !$ x^B=(x_3,x_4)=(6,10) !$.