Magna Concursos
712669 Ano: 2006
Disciplina: Estatística
Banca: CESPE / CEBRASPE
Orgão: DETRAN-PA
Provas:

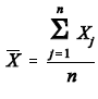
Uma pesquisa deverá ser realizada em certa população para levantar informações acerca de uma variável aleatória Normal X, cuja média e desvio padrão serão expressos, respectivamente, por µ e σ. A pesquisa coletará n réplicas de X, isto é, X1, X2, ..., Xn. Porém, sabe-se que essas variáveis não são independentes. A co-variância entre duas observações Xk e Xh é igual a C > 0, para k≠h.

Nessa situação, assinale a opção correta, acerca das propriedades da média amostral enunciado 712669-1.

 

Provas

Questão presente nas seguintes provas

Estatístico

40 Questões