Magna Concursos
124433 Ano: 2010
Disciplina: Eletroeletrônica
Banca: CESPE / CEBRASPE
Orgão: INMETRO
Provas:

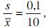
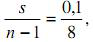
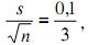
Nove contêineres de um grande carregamento foram inspecionados quanto à quantidade, em litros, de ácido sulfúrico, e apresentaram média x igual a 10 L e desvio padrão s igual a 0,1 L. Em um relatório passado, um histograma foi apresentado sugerindo que a quantidade de ácido sulfúrico seguia distribuição normal. O intervalo de 95% de confiança para a quantidade média de ácido sulfúrico é [9,9233; 10,0767], com valores dados em litros.

Com relação ao texto em referência, é correto afirmar que o erro padrão utilizado para o cálculo do desvio padrão é dado por

 

Provas

Questão presente nas seguintes provas

Técnico Eletricista

60 Questões