Pesquisadores desenvolveram um novo dispositivo para medir a velocidade de uma aeronave e, em um oratório especial, submeteram uma amostra aleatória de 36 réplicas da aeronave (amostra A) a um teste de operação, medindo a temperatura mínima necessária para o bom funcionamento de cada réplica.
Considerando essa situação, julgue o item que se segue, acerca de inferência estatística.
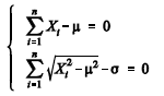
Os estimadores de momentos para a média !$ \mu !$ e desvio padrão !$ \sigma !$ de uma distribuição normal, com base em uma amostra aleatória simples X1, X2, ..., Xn, podem ser obtidos a partir da solução do sistema de equações de estimação apresentado abaixo.
