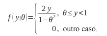
Considere a função de densidade de probabilidades

se uma amostra aleatória de tamanho 6 resultou nas medidas 0,70; 0,63; 0,92; 0,86; 0,43 e 0,21. Encontre o valor do estimador de máxima verossimilhança.
Considere a função de densidade de probabilidades

se uma amostra aleatória de tamanho 6 resultou nas medidas 0,70; 0,63; 0,92; 0,86; 0,43 e 0,21. Encontre o valor do estimador de máxima verossimilhança.