Magna Concursos
514576 Ano: 2014
Disciplina: Estatística
Banca: CESPE / CEBRASPE
Orgão: ANATEL
O tempo de espera por atendimento em certo sistema de comunicação é uma variável aleatória contínua U uniformemente distribuída no intervalo [0, T], em que T > 0. Para a estimação do parâmetro T, dispõe-se de uma amostra aleatória simples U1, U2, ..., Un retirada dessa distribuição U.

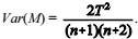
Com base nessa situação hipotética, julgue o próximo item, considerando que o estimador M = max(U1, U2, ..., Un) e a razão X = M/T, e que a função de densidade de probabilidade de X seja dada por f(x) = nxn-1 , para x ∈ (0, 1); e f(x) = 0, para x ∉ (0, 1).

Nessa situação, a variância do estimador M é Enunciado 3353374-1

 

Provas

Questão presente nas seguintes provas