Assinale a opção que completa de forma correta o seguinte caso:
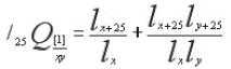
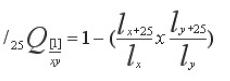
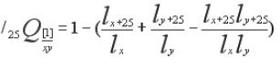
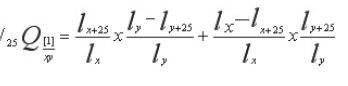
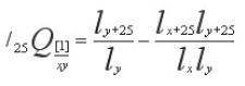
"Um casal deseja saber qual é a formulação atuarial relativa à probabilidade de que apenas um dos componentes do casal esteja vivo, após os 25 anos seguintes."
"Um casal deseja saber qual é a formulação atuarial relativa à probabilidade de que apenas um dos componentes do casal esteja vivo, após os 25 anos seguintes."
Provas
Questão presente nas seguintes provas