Magna Concursos
199690 Ano: 2014
Disciplina: Estatística
Banca: VUNESP
Orgão: EMPLASA
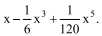
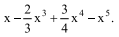
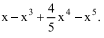
A aproximação de Taylor em torno de x = 0 até a 5.ª ordem da função definida por ƒ(x) = sen (x) é
 

Provas

Questão presente nas seguintes provas