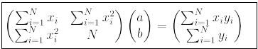
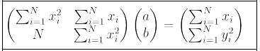
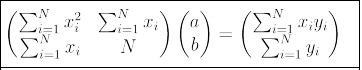
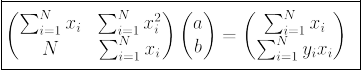
O método dos mínimos quadrados de um
conjunto de dados (xi, yi), com uma reta como
função modelo (regressão linear), y = ax +b, é
construído a partir da função erro quadrático
E(a,b):
E(a,b) deve ser minimizada para os parâmetros a e b, permitindo que se obtenha duas equações lineares em termos dos parâmetros a e b.
Assinale a alternativa que apresenta a equação matricial cuja solução leva aos parâmetros a e b adequados.
E(a,b) deve ser minimizada para os parâmetros a e b, permitindo que se obtenha duas equações lineares em termos dos parâmetros a e b.
Assinale a alternativa que apresenta a equação matricial cuja solução leva aos parâmetros a e b adequados.