Uma empresa fabrica 3 produtos A, B e C que lhe proporcionam lucros de R$ 7,00, R$ 7,00 e R$ 12,00 por quilograma. Para produzi-los, utiliza dois tipos de matéria-prima M e N, cujas disponibilidades são 50 e 82 litros. A empresa, desejando maximizar seu lucro e respeitando sua disponibilidade de matéria-prima, elabora um modelo de programação linear para determinar o número de unidades de cada produto a ser fabricado. A solução do modelo, resolvido como um problema de minimização, é apresentada abaixo, onde x1 e x2 são as folgas das restrições relativas a M e N, respectivamente.

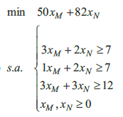
Considerando que as variáveis duais sejam representadas por xM e xN , o problema dual é representado da seguinte forma: