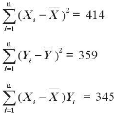
Uma amostra aleatória simples (X1 ,Y1), (X2 ,Y2), ..., (Xn,Yn) de duas variáveis aleatórias X e Y forneceu as seguintes quantidades:

Calcule o valor mais próximo do coefi ciente de determinação da regressão linear de Y em X.

Calcule o valor mais próximo do coefi ciente de determinação da regressão linear de Y em X.
Provas
Questão presente nas seguintes provas