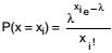
A distribuição de número de peças defeituosas (x) em caixas de 5 peças cada uma é admitida que obedece à lei de Poisson,
ou seja,
. Analisando uma amostra aleatória de N caixas, foi constatada a seguinte distribuição

Observação: ni é o número de caixas contendo xi peças defeituosas e M é o número de caixas com nenhuma peça defeituosa.
Utilizando o método dos momentos obtém-se que a estimativa pontual do parâmetro λ é igual a 0,82. A quantidade de caixas da amostra que apresentou menos que duas peças defeituosas foi