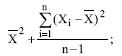
Se X1, X2,..., Xn representa uma amostra aleatória simples de uma variável aleatória X normalmente distribuída com média µ e desvio padrão
desconhecidos, então o estimador de máxima verossimilhança de E[ X2 ] é dado por:
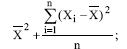
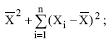
Se X1, X2,..., Xn representa uma amostra aleatória simples de uma variável aleatória X normalmente distribuída com média µ e desvio padrão
desconhecidos, então o estimador de máxima verossimilhança de E[ X2 ] é dado por: