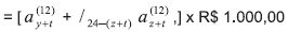
Para um Benefício de Pensão de R$ 1.000,00, que já esteja sendo recebido no fi nal de cada mês, 80% para o cônjuge e os outros 20% para o filho universitário, sem que haja contribuição futura, a reserva matemática correspondente será obtida por:
Atenção: observe que nas opções há "x" como operador matemático (donde a interpretação faz parte da questão).
Atenção: observe que nas opções há "x" como operador matemático (donde a interpretação faz parte da questão).
Provas
Questão presente nas seguintes provas