Magna Concursos
382018 Ano: 2011
Disciplina: Estatística
Banca: CESPE / CEBRASPE
Orgão: CBM-DF

Pesquisadores desenvolveram um novo dispositivo para medir a velocidade de uma aeronave e, em um oratório especial, submeteram uma amostra aleatória de 36 réplicas da aeronave (amostra A) a um teste de operação, medindo a temperatura mínima necessária para o bom funcionamento de cada réplica.

Considerando essa situação, julgue o item que se segue, acerca de inferência estatística.

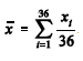
A estimativa da variância da média amostral da temperatura mínima é igual a Enunciado 382018-1, em que xi representa a temperatura mínima relativa ao dispositivo i e Enunciado 382018-2.

 

Provas

Questão presente nas seguintes provas

Oficial Bombeiro Militar - Estatística

120 Questões