Magna Concursos
2467071 Ano: 2013
Disciplina: Estatística
Banca: ESPP
Orgão: MPE-PR
Provas:

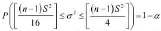
De uma população foi retirada uma amostra com distribuição normal ao nível de 95%. Se o intervalo de confiança para a variância é dado por: Enunciado 3126539-1a, então o intervalo de confiança para a variância populacional admitindo uma distribuição normal, n = 8, S² = 4, a = 0,05, com 95% de confiança será igual a:

 

Provas

Questão presente nas seguintes provas

Estatístico

80 Questões