Em uma escola, há 2 mil estudantes distribuídos em 100 turmas:
50 são do turno matutino e as outras 50, do turno vespertino.
A figura abaixo representa a distribuição percentual desses
estudantes segundo o turno em que estão matriculados.

A média das idades dos estudantes matriculados no turno
vespertino é 10% superior à média das idades dos estudantes do
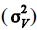
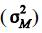
turno matutino. A variância das idades daqueles que estudam no
turno matutino
é igual à variância das idades dos estudantes
do turno vespertino
. Com base nessas informações, julgue
os itens que se seguem.
Se a mediana das idades dos 2 mil estudantes da escola em questão for igual a 10 anos, então haverá, pelo menos, 200 estudantes no turno matutino com idades iguais ou inferiores a 10 anos.50 são do turno matutino e as outras 50, do turno vespertino.
A figura abaixo representa a distribuição percentual desses
estudantes segundo o turno em que estão matriculados.

A média das idades dos estudantes matriculados no turno
vespertino é 10% superior à média das idades dos estudantes do
turno matutino. A variância das idades daqueles que estudam no
turno matutino
é igual à variância das idades dos estudantesdo turno vespertino
. Com base nessas informações, julgueos itens que se seguem.