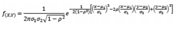
Considere uma distribuição Normal Bivariada, representada a seguir:

Onde,

Com relação a essa distribuição, pode-se afirmar que:
Provas
Questão presente nas seguintes provas
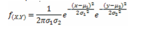
Considere uma distribuição Normal Bivariada, representada a seguir:

Onde,

Com relação a essa distribuição, pode-se afirmar que: