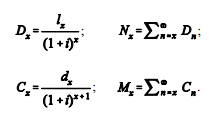
As tábuas de comutação de determinada coorte são
formuladas essencialmente pelas funções lx = número de
sobreviventes com x anos de idade e dx = número de pessoas
com x anos de idade que morrerão antes de atingir a idade x + 1,
provenientes das tábuas de mortalidade e pelo fator de
descapitalização
baseado em uma taxa de juros i.
Dois pares de funções importantes compõem essas tábuas: Dx e Nx
— funções de sobrevivência —, e Cx e Mx — funções de morte.
Essas funções possuem as seguintes expressões, em que ω é a idade
terminal:

Considere uma coorte de 100.000 nascidos que, à taxa de juros de 6% ao ano, tenha uma tábua de comutações cuja linha para a idade x = 35 anos seja a seguinte.

Com base nas informações apresentadas, julgue o item que se segue
Se uma pessoa de 35 anos de idade fizer um seguro de vida no valor de R$ 200.000,00, o prêmio anual vitalício que ela deverá pagar será inferior a R$ 2.000,00.