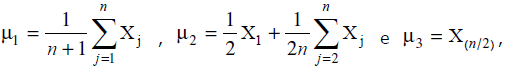
Seja X1,...,Xn uma amostra aleatória de uma população com média S e variância !$ \sigma_2 !$. Considere os três estimadores para a média:

onde X(k) corresponde a k-ésima estatística de ordem. Então, pode-se afirmar que
Seja X1,...,Xn uma amostra aleatória de uma população com média S e variância !$ \sigma_2 !$. Considere os três estimadores para a média:

onde X(k) corresponde a k-ésima estatística de ordem. Então, pode-se afirmar que