- Fundamentos
- Distribuições de Probabilidade
- Estatística InferencialVariáveis AleatóriasVariável Aleatória Contínua
- Probabilidades
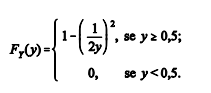
O tempo de duração de processos judiciais (em anos) que tramitam em certo tribunal é representado por uma variável aleatória contínua Y cuja função de distribuição acumulada é expressa por:

A partir dessa situação hipotética, assinale a opção correta.