Em relação aos métodos de inferência estatística, julgue o item subsequente.
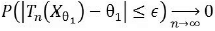
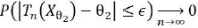
Considere um modelo estatístico cujo único parâmetro θ assuma um dos valores {θ1, θ2, θ3}. Considere, ainda, que Tn (•) seja um estimador do parâmetro que dependa do tamanho amostral n. Nessa hipótese, supondo que !$ X_\theta !$i, !$ i=1,2,3 !$ seja uma amostra gerada com cada valor possível do parâmetro !$ \theta !$, então

e

implicam
