Magna Concursos
Questões
Planos
Entrar
Entrar
Criar Conta
Respondida
1087350
Ano:
2018
Disciplina:
TI - Ciência de Dados e BI
Banca:
FGV
Orgão:
Pref. Niterói-RJ
Provas:
Analista de Políticas Públicas e Gestão Governamental - TI
Provas
×
Inteligência Artificial
Machine Learning
Redes Neurais
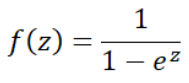
No contexto das redes neurais, é comum o uso da função
sigmoid
no papel de função de ativação. Assinale a definição correta dessa função na referida aplicação.
A
B
C
D
E
Resolver
Comentários
0
×
Cadernos
×
Flashcards
×
Estatísticas
×
Reportar um erro
×
Provas
Questão presente nas seguintes provas
Analista de Políticas Públicas e Gestão Governamental - TI
80 Questões
Resolver Prova
Publicar
Responder
Qual o problema da questão?
Selecione uma opção
Questão Desatualizada
Questão Repetida
Gabarito Errado
Outros Motivos
Mensagem
Enviar
Acessar
Criar Conta
Acesse sua Conta
Google
Facebook
Esqueci minha senha
Acessar
Ainda não tem conta?
Crie uma
!
Crie uma Conta
Criar Conta
Olá, para continuar, precisamos criar uma conta!
É
rápido
e
grátis
.
Google
Facebook
Concordo com os
Termos de Uso
Criar
Já tem uma conta?
Acesse aqui