Seja o modelo de regressão linear clássico com duas variáveis explicativas X2 e X3: Yi= !$ \beta !$1 + !$ \beta !$2X2i + !$ \beta !$3X3i + ui. É correto afirmar que:
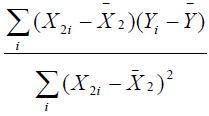
Se a correlação entre X2 e X3 é zero, então o estimador de mínimos quadrados ordinários (MQO) de !$ \beta_2 !$ é 
Provas
Questão presente nas seguintes provas