Considere um conjunto de variáveis aleatórias
representa o tempo gasto
pelo k-ésimo oficial de justiça para o cumprimento de um
mandado judicial. Essas variáveis aleatórias são independentes e
identicamente distribuídas, segundo uma distribuição normal com
média m e desvio padrão d, ambos desconhecidos.
A partir dessas informações, julgue os itens de 69 a 76,
considerando que
represente a média amostral desse conjunto
de variáveis aleatórias.
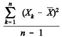
A estatística
representa o tempo gastopelo k-ésimo oficial de justiça para o cumprimento de um
mandado judicial. Essas variáveis aleatórias são independentes e
identicamente distribuídas, segundo uma distribuição normal com
média m e desvio padrão d, ambos desconhecidos.
A partir dessas informações, julgue os itens de 69 a 76,
considerando que
represente a média amostral desse conjuntode variáveis aleatórias.
é o estimador de máxima verossimilhança para d
.Provas
Questão presente nas seguintes provas