Magna Concursos
3693917 Ano: 2025
Disciplina: Modelagem de Processos de Negócio (BPM)
Banca: FGV
Orgão: MPE-RJ

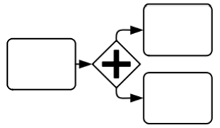
Analise a figura a seguir

Enunciado 4391562-1

Considerando que a figura é um elemento do modelo BPMN estendido (versão 2.0), ela representa um

 

Provas

Questão presente nas seguintes provas

Analista do Ministério Público - TI

80 Questões