Assinale a opção correta.
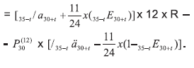
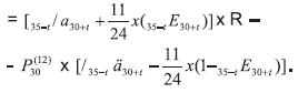
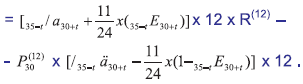
O benefício que pagará R$ 1.000,00, no final de cada mês, para a pessoa de 30 anos que atingir os 65 anos, com prêmio (ou contribuição) fracionado no início de cada mês, de forma imediata e durante o período de diferimento do benefício, pelo método prospectiva e antes de atingir a idade de direito ao benefício, terá a formulação da reserva matemática, segundo a metodologia de Woolhouse (tanto para o benefício quanto para o prêmio), dada por:
O benefício que pagará R$ 1.000,00, no final de cada mês, para a pessoa de 30 anos que atingir os 65 anos, com prêmio (ou contribuição) fracionado no início de cada mês, de forma imediata e durante o período de diferimento do benefício, pelo método prospectiva e antes de atingir a idade de direito ao benefício, terá a formulação da reserva matemática, segundo a metodologia de Woolhouse (tanto para o benefício quanto para o prêmio), dada por:
Provas
Questão presente nas seguintes provas