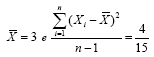
Sejam 1, , n X…X itens de uma amostra aleatória de uma população normal com média μ e variância σ 2 . Para n =16 observou-se

Assinale a opção que dá o valor do estimador de máxima verossimilhança do quantil de ordem 0,975 da população. Tome como aproximadamente 2 a quantidade correspondente na distribuição normal padrão.