Magna Concursos
1751155 Ano: 2008
Disciplina: Estatística
Banca: CESPE / CEBRASPE
Orgão: Petrobrás
Provas:

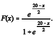
Considere que a porosidade de uma rocha reservatório seja uma variável aleatória contínua — X — que se distribui de acordo com a função de distribuição acumulada Enunciado 1751155-1 A partir dessas informações, assinale a opção incorreta.

Questão Anulada

Provas

Questão presente nas seguintes provas

Engenheiro de Petróleo

120 Questões