Suponha que amostras aleatórias simples independentes de tamanhos n1, n2, ..., nk sejam extraídas de k (k
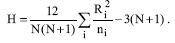
2) populações contínuas com o objetivo de testar a hipótese nula de que não há diferenças nos tratamentos, de modo que podemos supor que todas as observações provêm de uma mesma população, contra a hipótese alternativa de que há diferenças na locação dos tratamentos aplicados, ou seja, estamos no contexto da análise da variância de um critério.Em relação ao teste de Kruskal-Wallis, avalie as afirmativas a seguir: I - O teste é adequado para situações em que a suposição de normalidade típica da análise de variância não pode ser feita. II - Para executar o teste, inicialmente as N (N = n1+ n2 ... nk) observações são dispostas como se compusessem uma única amostra e os respectivos postos são determinados. Em seguida são calculadas as somas Ri dos postos das observações de cada amostra i, i= 1, ..., k. III - A estatística de teste é
IV %u2013 Assintoticamente, H tem distribuição qui-quadrado com k %u2013 2 graus de liberdade quando a hipótese nula é verdadeira. Estão corretas somente as afirmativas:
2) populações contínuas com o objetivo de testar a hipótese nula de que não há diferenças nos tratamentos, de modo que podemos supor que todas as observações provêm de uma mesma população, contra a hipótese alternativa de que há diferenças na locação dos tratamentos aplicados, ou seja, estamos no contexto da análise da variância de um critério.Em relação ao teste de Kruskal-Wallis, avalie as afirmativas a seguir: I - O teste é adequado para situações em que a suposição de normalidade típica da análise de variância não pode ser feita. II - Para executar o teste, inicialmente as N (N = n1+ n2 ... nk) observações são dispostas como se compusessem uma única amostra e os respectivos postos são determinados. Em seguida são calculadas as somas Ri dos postos das observações de cada amostra i, i= 1, ..., k. III - A estatística de teste é
IV %u2013 Assintoticamente, H tem distribuição qui-quadrado com k %u2013 2 graus de liberdade quando a hipótese nula é verdadeira. Estão corretas somente as afirmativas: