Magna Concursos
555247 Ano: 2015
Disciplina: Estatística
Banca: CESPE / CEBRASPE
Orgão: FUB
Provas:
Um estatístico estimou a quantidade máxima, θ, de processos que um funcionário de sua empresa pode analisar durante um dia de trabalho, assumindo que as quantidades de processos X1, X2, þ Xn , analisados por cada um dos n funcionários dessa empresa, sejam estatisticamente independentes e sigam uma distribuição Uniforme[0,θ].
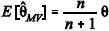
Considerando que o estimador de máxima verossimilhança,Enunciado 555247-1 seja viciado e que, consequentemente, o estimador Enunciado 555247-2 não o seja, julgue o próximo item.
Nessa situação,Enunciado 555247-3 ; e, em média, o estimador de máxima verossimilhança subestima a quantidade máxima de processos que o funcionário pode analisar durante um dia de trabalho.
 

Provas

Questão presente nas seguintes provas

Estatístico

120 Questões