ATENÇÃO: O enunciado a seguir vale para as questões 74 e 75.

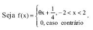
que maximiza a variância no modelo descrito pela função de densidade f(x) é:ATENÇÃO: O enunciado a seguir vale para as questões 74 e 75.

que maximiza a variância no modelo descrito pela função de densidade f(x) é: