- Estatística DescritivaMedidas de DispersãoDesvio Padrão
- Estatística DescritivaMedidas de Tendência CentralMédias
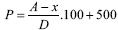
Para resolver as questões 43 e 44, utilize os dados abaixo: Em certo concurso público, foi adotada a padronização dos pontos por meio da fórmula
, onde P são os pontos padronizados, A é o número de acertos, x é a média aritmética dos acertos e D é o desvio padrão.
, onde P são os pontos padronizados, A é o número de acertos, x é a média aritmética dos acertos e D é o desvio padrão.Se quatro candidatos a um determinado cargo acertaram respectivamente 3, 4, 6 e 7, o desvio padrão das suas médias é igual à raiz quadrada de
Provas
Questão presente nas seguintes provas